Cl-NH-PEG4-NHS 1353011-95-6 PEG修饰剂
发布时间:2023-04-18     作者:LYQ   分享到:
产品信息:
英文名称:Cl-NH-PEG4-NHS
CAS No.:
1353011-95-6
英文别名:
Chloroacetamido-PEG4- NHS ester
产品纯度:
≥95%
分子式:
C17H27ClN2O9
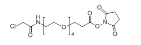
结构式:

产品介绍:
聚乙二醇是一种高分子聚合物,化学式是HO(CH2CH2O)nH,无刺激性,具有良好的水溶性,并与许多有机物组分有良好的相溶性。具有优良的润滑性、保湿性、分散性、粘接性,可作为抗静电剂及柔软剂等使用。
分散系数:小于等于1.05
溶剂:氯仿,DMSO等部分有机溶剂。
产品规格:500mg/1g/5g/10g
用途:用于医学研究,药物释放,纳米技术和新材料研究。
生产地址:西安
温馨提示:本品仅用于科研实验,不可用于诊治,欢迎咨询!
西安齐岳生物科技有限公司供应定制合成磷脂、PEG磷脂、两亲嵌段共聚物,磁性纳米颗粒,纳米金,荧光量子点及树枝状聚合物、PEG衍生物等等产品.可供常规磷脂单体、PEG磷脂,改性磷脂,磷脂、聚合物磷脂、磷脂偶连无机纳米材料及微球类材料、单分散小分子PEG磷脂偶连产品,还可根据客户需要定制合成复杂及特殊的聚合物磷脂产品。
相关产品推荐:
NPC-PEG-DTPA
硝基苯碳酸盐-聚乙二醇-二乙基三胺五乙酸
NPC-Tretinoin
硝基苯碳酸盐-聚乙二醇-维甲酸
NPC-Niacin
硝基苯碳酸盐-聚乙二醇-烟酸
NPC-Isothiocyanate
NPC-PEG-ITC
硝基苯碳酸盐-聚乙二醇-异硫氰酸盐




齐岳微信公众号
官方微信
库存查询