DSPE-PEG2000-FA;磷脂-聚乙二醇-叶酸; 磷脂-PEG-叶酸
发布时间:2023-05-08  作者:zyl  分享到:
【产品名称】
DSPE-PEG-FA、二硬脂酰基磷脂酰乙醇胺-聚乙二醇-叶酸、磷脂-PEG-叶酸
英文名称:Folic acid PEG DSPE
【产品包装】100mg、500mg(可根据要求定制规格)
【产品详情】
溶剂:氯仿、二氯甲烷等常规有机溶剂
外观:淡黄色或黄色粉末
分子量(PEG ):2000、3400、5000,其他分子量可以定制。
为确保产品的稳定性,请注意在恒温干燥以后才能打开包装取用!
【产品说明】
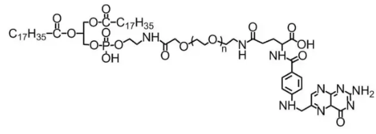
磷脂-聚乙二醇-叶酸(DSPE-PEG-FA),羧基与氨基生成酰胺键,这个反应使得叶酸配体附着在蛋白质、抗体、肽或颗粒表面。聚乙二醇化叶酸具有较好的水溶性和生物活性,叶酸功能化底物已被用于靶向给药、成像和生物测定的开发。DSPE(1,2-二硬脂酰-sn-甘油-3-磷酸乙醇胺)是一种饱和的18碳磷脂,常用于脂质体的合成。聚乙二醇(PEG)偶联DSPE具有亲水性,可用于药物传递、基因转染和生物分子修饰。
结构式

相关产品:
DSPE-PEG-RGD 磷脂聚乙二醇多肽
DSPE-PEG-NH2 磷脂聚乙二醇氨基
DSPE-PEG-COOH 磷脂聚乙二醇羧基
DSPE-PEG-MAL 磷脂聚乙二醇马来酰亚胺
DSPE-PEG-NHS 磷脂聚乙二醇琥珀酰亚胺酯
DSPE-PEG-SH 磷脂聚乙二醇巯基
DSPE-PEG-Biotin 磷脂聚乙二醇生物素
DSPE-PEG-FA 磷脂聚乙二醇叶酸
DSPE-MPEG 磷脂甲氧基聚乙二醇




齐岳微信公众号
官方微信
库存查询