英文名称:DSPE-PEG-FA
DSPE-PEG-Folic acid
中文名称:磷脂-聚乙二醇-叶酸
CAS:1236288-25-7
分子量:1k,2k,3.4k,5k,10k,20k(可按需定制)
质量控制:95%+
存储条件:-20°C,避光,避湿
用 途:仅供科研实验使用,不用于诊治
外 观:粘稠液体或者固体粉末,取决于分子量
注意事项:取用一定要干燥,避免频繁的溶解和冻干
溶解性:溶于大部分有机溶剂,如:DCM、DMF、DMSO、THF等等。在水中有很好的溶解性
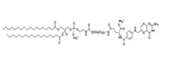
结构式:

磷脂聚乙二醇叶酸(DSPE-PEG-FA),羧基与氨基生成酰胺键,这个反应使得叶酸配体附着在蛋白质、抗体、肽或颗粒表面。
聚乙二醇化叶酸具有较好的水溶性和生物活性。叶酸功能化底物已被用于靶向给药、成像和生物测定的开发。
DSPE(1,2-二硬脂酰-sn-甘油-3-磷酸乙醇胺)是一种饱和的18碳磷脂,常用于脂质体的合成。聚乙二醇(PEG)偶联DSPE具有亲水性,可用于***传递、基因转染和生物分子修饰。
相关产品:
磷脂-聚乙二醇-叶酸,DSPE-PEG-FA,Folic acid PEG DSPE,MW:20000
磷脂-聚乙二醇-叶酸,DSPE-PEG-FA,Folic acid PEG DSPE,MW:10000
磷脂-聚乙二醇-叶酸,DSPE-PEG-FA,Folic acid PEG DSPE,MW:3400
磷脂-聚乙二醇-叶酸,DSPE-PEG-FA,Folic acid PEG DSPE,MW:2000
磷脂-聚乙二醇-叶酸,DSPE-PEG-FA,Folic acid PEG DSPE,MW:1000
磷脂-聚乙二醇-羧基,DSPE-PEG-COOH,DSPE-PEG-Acid,MW:20000
磷脂-聚乙二醇-羧基,DSPE-PEG-COOH,DSPE-PEG-Acid,MW:10000




齐岳微信公众号
官方微信
库存查询