【产品名称】
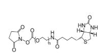
Biotin-PEG-NHS 生物素-聚乙二醇-活性酯
中文名称:生物素-聚乙二醇-琥珀酰亚胺脂
【产品详情】
性状:基于不同的分子量,白色/类白色固体,或粘稠液体。
溶剂:水,氯仿,DMSO,二氯甲烷等常规有机溶剂。
储存条件:冷藏保存,避免反复冻融。
分散系数:≤1.05
分子量(PEG ):2000、3400、5000,其他分子量可以定制。
为确保产品的稳定性,请注意在恒温干燥以后才能打开包装取用!

【产品说明】
Biotin-PEG-NHS是生物素PEG衍生物的一种,生物素和链霉亲和素具有很好的亲和力。
生物素-亲合素系统目前广泛应用于微量抗原、antibody定性、定量检测及diagnosis(ELISA)中,生物素容易与蛋白质和核酸类等生物大分子结合,形成的生物素衍生物,不仅保持了大分子物质的原有生物活性,而且比恬度高,具多价性。
此外,每个亲和素分子有四个生物素结合部位,可同时以多价形式结合生物素化的大分子衍生物和标记物。
西安齐岳生物科技有限公司供应合成磷脂、PEG磷脂、两亲嵌段共聚物,磁性纳米颗粒,纳米金,荧光量子点及树枝状聚合物、PEG衍生物等等产品.可供常规磷脂单体、PEG磷脂,改性磷脂,磷脂、聚合物磷脂、磷脂偶连无机纳米材料及微球类材料、单分散小分子PEG磷脂偶连产品,还可根据客户需要定制合成复杂及特殊的聚合物磷脂产品。
厂家:西安齐岳生物科技有限公司
用途:科研
状态:固体/粉末/溶液
产地:西安
保存:冷藏
温馨提醒:仅供科研,不能用于人体实验
相关产品:
mPEG6-Br;125562-29-0;甲氧基-六聚乙二醇-溴
mPEG7-Br;甲氧基-七聚乙二醇-溴
Amineoxy-PEG3-methane,248275-10-7
Amine-PEG10-OH;129449-09-8
Amine-PEG10-OH;129449-09-8
Amine-PEG6-COOtBu,1286281-32-0
mPEG7-azide;208987-04-6
Alkyne-PEG6-COOtBu;1355197-95-3
Azide-PEG7-Azide




齐岳微信公众号
官方微信
库存查询