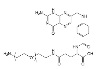
FA-PEG-NH2,MW:2000; 叶酸聚乙二醇氨基;Folic acid-PEG-amine
发布时间:2023-05-23  作者:zyl  分享到:
FA-PEG-NH2 叶酸-聚乙二醇-氨基
中文名称:叶酸-聚乙二醇-氨基
英文名称:FA-PEG-NH2/Folic acid-PEG-Amine
溶剂:Water(水)、Methanol(甲醇)、 DMF、DMSO等常规有机溶剂。
性状:基于不同的分子量,呈白色/类白色固体,或粘稠液体。
稳定性:冷藏保存,避免反复冻融。
分子量(PEG):1000、2000、3400、5000其他分子量可以制定
活性基团:NH2
反应基团:COOH、NHS、CHO
注意事项:避免频繁解冻,现配现用,保持干燥

FA-PEG-NH2是一种活性叶酸PEG衍生物,叶酸也称为维生素M、维生素B9或特酰-L-谷氨酸。叶酸是一种重要的生物活性分子,具有多种生物学功能。它参与DNA的合成、修复和甲基化,并在许多生物反应中充当辅助因子。
相关产品:
Cy3-PEG-马来酰亚胺
二硬脂酰基磷脂酰乙醇胺-聚乙二醇-马来酰亚胺
1,2-diphytanoyl-sn-glycero-3-phosphoethanolamine
氢化大豆磷脂酰胆碱
四氮杂环十二烷四乙酸-五聚乙二醇-氨基小分子
ICG-OSu
Cy3-N-羟基琥珀酰亚胺酯
二油酰基 L-α-磷脂酰乙醇胺
CAS:1510-21-0




齐岳微信公众号
官方微信
库存查询