Maleimide-PEG-DSPE;二硬脂酰基磷脂酰乙醇胺-聚乙二醇-马来酰亚胺
发布时间:2023-05-25  作者:zyl  分享到:
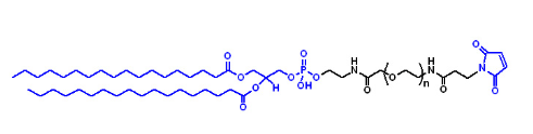
DSPE-PEG-MAL二硬脂酰基磷脂酰乙醇胺聚乙二醇马来酰亚胺
【化合物名称】
DSPE-PEG-MAL、二硬脂酰基磷脂酰乙醇胺-聚乙二醇-马来酰亚胺、磷脂-聚乙二醇-马来酰亚胺
【化合物参数详情】
性状:根据分子量的不同,为固体粉末或粘稠液体;PEG2000分子量的性状为白颜色固体粉末。
溶剂:Water(水)、Methanol(甲醇)、Chloroform、 DMF、DMSO等常规有机溶剂
反应性组:马来酰亚胺
对以下分子有反应性:巯基(-SH)
脂质类型:18C PE,饱和
分子量(PEG ):2000、3400、5000,其他分子量可以定制。

【化合物使用说明】
DSPE-PEG-MAL是反应性磷脂PEG试剂之一,可以与巯基(硫醇,-SH)反应,DSPE(1,2-二硬脂酰基-sn-甘油3-磷酸乙醇胺)是一种高度疏水的饱和18C磷脂。
另一方面,PEG接头(聚乙二醇)具有良好的亲水性和水溶性,马来酰亚胺官能的DSPE PEG对衍生自各种分子的巯基/硫醇基团具有反应性,马来酰亚胺和硫醇之间的反应在中性pH下容易进行。
马来酰亚胺PEG DSPE 脂质体是将脂质体和其他脂质PEG纳米颗粒表面上的抗体,肽或其他配体缀合的常用的反应性磷脂之一。
相关产品:
羧基-聚乙二醇-氨基
葡聚糖-罗丹明B
环肽iRGD聚乙二醇硅烷
四臂聚乙二醇巯基
花青素CY5-聚乙二醇-氨基
氨基-聚乙二醇-醛基
PEG-Nano gold
羧基修饰葡聚糖
磷脂-聚乙二醇-马来酰亚胺
聚乙烯亚胺聚己内酯
FITC-活性酯
Sulfo-Cyanine5.5 NHS ester
聚乙二醇包裹四氧化三铁纳米颗粒




齐岳微信公众号
官方微信
库存查询