PLLA-PEG-SH 聚左旋乳酸聚乙二醇疏基 SH-PEG-PLLA
发布时间:2023-05-31     作者:LYQ   分享到:
英文名称:
PLLA5k-PEG2k-SH
中文名称:聚左旋乳酸-聚乙二醇-疏基
别名:PLLA-PEG-SH 聚左旋乳酸聚乙二醇疏基 SH-PEG-PLLA
包装:瓶装
产地:西安
厂家:西安齐岳生物科技有限公司
温馨提示:仅适用于科研实验,不可用于人体!
合成了PLA一PEG嵌段共聚物,研究了它们的性质和结构,使用双乳化法制备了这些共聚物的微球。用亲水性高分子药物肝素作为模型药物,研究了嵌段共聚物不同的嵌段结构、乳化剂种类对于载肝素微球的包封率,表面形貌及释放曲线的影响。
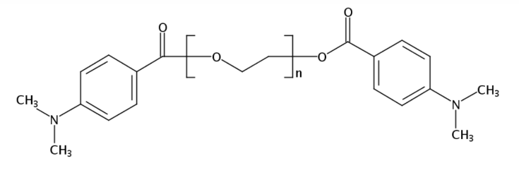
结构式:

西安齐岳生物科技有限公司可供常规磷脂单体、PEG磷脂,改性磷脂,磷脂、聚合物磷脂、磷脂偶连无机纳米材料及微球类材料、单分散小分子PEG磷脂偶连产品,还可根据客户需要定制合成复杂及特殊的聚合物磷脂产品、两亲嵌段共聚物,磁性纳米颗粒,纳米金,荧光量子点及树枝状聚合物、PEG衍生物等等产品,更有许多的库存产品可供选择,详情请咨询客服。
产品推荐:
VA-Alkyne
VA-PEG-ALK
缬草酸-聚乙二醇-炔基
VA-SH
VA-PEG-Thiol
缬草酸-聚乙二醇-巯基
VA-Biotin
缬草酸-聚乙二醇-生物素
VA-CHO
VA-PEG-aldehyde




齐岳微信公众号
官方微信
库存查询