DSPE-PEG 磷脂聚乙二醇 dspe-peg
发布时间:2023-05-31     作者:LYQ   分享到:
DSPE-PEG用途
DSPE-PEG是一种磷脂聚合物偶联物,可用于药物传递应用。DSPE-PEG是一种用于制备纳米载体的材料,用于延长血液循环时间、提高稳定性和提高封装效率
英文名称:
DSPE-PEG2000
中文名称:磷脂-聚乙二醇
别名:DSPE-PEG 磷脂聚乙二醇 dspe-peg
包装:瓶装
产地:西安
厂家:西安齐岳生物科技有限公司
温馨提示:仅适用于科研实验,不可用于人体!
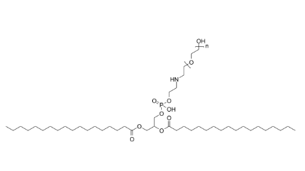
结构式:

我公司可以提供各种高分子PEG衍生物,分子量从1000-20000不等,涉及甲氧基PEG|氨基PEG|羧基PEG|巯基PEG|叠氮PEG|八臂PEG|四臂PEG|活性酯PEG|叶酸PEG|生物素PEG|马来酰亚胺PEG|荧光素PEG|罗丹明PEG|丙烯酸酯PEG|磷脂PEG|琥珀酰亚胺PEG|炔基PEG|羟基PEG|叶酸PEG|硅烷PEG等基团,同时我公司新推出了单分散的小分子量PEG/PEO衍生物,PEG/PEO的重复单元从2个-24个不等。
产品推荐:
VA-NTA
VA-PEG-Nitrilotriacetic acid
缬草酸-聚乙二醇-次氮基三乙酸
VA-DNP-PEG-NHS
VA-PEG-2,4-Dintrophenyl PEG NHS Ester
VA-Pentafluorophenyl
VA-PEG-PFP
缬草酸-聚乙二醇-五氟苯酚




齐岳微信公众号
官方微信
库存查询