脂溶cy5-NH2;发远红荧光的花青素荧光染料Cyanine5 amine
发布时间:2023-06-01  作者:zyl  分享到:
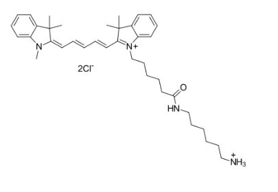
产品名称:菁染料CY5标记氨基;五甲川花菁染料标记氨基
英文名称:Cy5-amine;Cyanine5-amine;Cyanine5-NH2
CAS号:1807529-70-9
外观:深蓝色粉末/固体
分子量:653.77
分子式:C38H54Cl2N4O
激发波长:646nm
发射波长:662nm
纯度:95%+
储藏条件:-20°C 下避光保存

CY5-NH2是一种高度稳定的荧光染料,具有较高的荧光量子产率和较长的激发和发射波长,通常用于生物医学研究领域中的。
而Cy5是一种荧光染料,它可以通过氨基反应进行标记。在氨基反应中,Cy5与具有活性氨基的分子发生反应,形成氨基结合物。这种氨基结合物能够发出明亮的红色荧光,可以用于荧光检测。
相关产品:
DSPE-PEG-SP94
CAS号 25104-18-1
DSPE-PEG-R8,MW:2000
荧光素标记羧甲基壳聚糖
CAS号 308068-56-6
四臂聚乙二醇琥珀酰亚胺酯
DSPE-PEG-iRGD
脂溶性Cyanine5-NH2
FITC-活性酯
CAS:1603861-95-5
磷脂-聚乙二醇-靶向穿膜肽cRGD
二硬脂酰基磷脂酰乙醇胺-聚乙二醇2000
荧光素标记美罗培南
马来酰亚胺-聚乙二醇-聚(D,L-丙交酯-co-乙交酯)
荧光染料Cypate bis NHS
八臂聚乙二醇羧基
二硬脂酰基磷脂酰乙醇胺-聚乙二醇2000




齐岳微信公众号
官方微信
库存查询