Dextran-Maleimide,MW:90K;马来酰亚胺修饰葡聚糖;Dextran-MAL
发布时间:2023-06-01  作者:zyl  分享到:
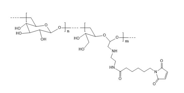
葡聚糖-马来酰亚胺,Dextran-MAL
名称: 葡聚糖-马来酰亚胺,葡聚糖-MAL,马来酰亚胺功能化葡聚糖
英文名称:Dextran-MAL
存储条件:-20°C,避光,避湿
外观: 固体或类白色絮状,取决于分子量
溶剂:溶于大部分有机溶剂,如:DCM、DMF、DMSO、THF等等。在水中有很好的溶解性Dextran葡聚糖(右旋糖酐Dextran),是一类具支链葡萄糖高聚物,他不带电荷,呈电中性,易溶于水,葡聚糖跟PEG一样具有良好的生物相容性,毒性较低适用于动物体内,葡聚糖还是一种生物可降解高分子聚合物,它可降解为低分子的糖。

西安齐岳生物科技有限公司是集化学科研和定制与一体的高科技化学公司。业务范围包括化学试剂和产品的研发、生产、销售等。涉及产品为通用试剂的分销、非通用试剂的定制与研发,涵盖生物科技、精细化学品、中间体和化工材料等领域。与多家品牌深度合作,渠道广阔,主营产品:原料药,天然产物,COF、MOF单体系列:三蝶烯衍生物、金刚烷衍生物、四苯甲烷衍生物、peg、上转换、石墨烯、光电材料、点击化学、凝集素、载玻片、蛋白质交联剂、脂质体、蛋白、多肽、氨基酸、糖化学等。
相关产品:
CAS:1603861-95-5
磷脂-聚乙二醇-靶向穿膜肽cRGD
二硬脂酰基磷脂酰乙醇胺-聚乙二醇2000
荧光素标记美罗培南
马来酰亚胺-聚乙二醇-聚(D,L-丙交酯-co-乙交酯)
荧光染料Cypate bis NHS
八臂聚乙二醇羧基
二硬脂酰基磷脂酰乙醇胺-聚乙二醇2000
cy3-Arginine
CAS:4235-95-4
CAS号132172-61-3
二硬脂酰基磷脂酰乙醇胺-聚乙二醇2000
氨基聚乙二醇磷脂
CAS号1622335-40-3
马来酰亚胺修饰葡聚糖




齐岳微信公众号
官方微信
库存查询