DSPE-PEG-FA, MW:3400;磷脂聚乙二醇叶酸;DSPE-PEG-Folate
发布时间:2023-06-01  作者:zyl  分享到:
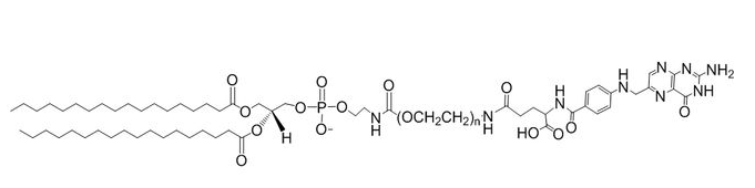
产品名称:磷脂-聚乙二醇-叶酸;二硬脂酰磷脂酰乙酰胺-聚乙二醇-叶酸
英文名称:DSPE-PEG-Folate;DSPE-PEG-FA
分子量:1k,2k,3.4k,5k,10k,20k(可按需定制)
质量控制:95%+
原料分散系数PDI:≤1.05
存储条件:-20°C,避光,避湿
用 途:仅供科研实验使用,不用于诊治
外观: 固体或粘性液体,取决于分子量
注意事项:取用一定要干燥,避免频繁的溶解和冻干
溶解性:溶于大部分有机溶剂,如:DCM、DMF、DMSO、THF等等。在水中有很好的溶解性

磷脂PEG叶酸(DSPE-PEG-FA),(DSPE)共轭聚乙二醇是磷脂和聚乙二醇结合具有亲水性和疏水性。聚乙二醇磷脂脂质体形成材料,可用于药物输送、基因转染和疫苗传递。
聚乙二醇化磷脂能**改善血液循环时间和稳定封装药物。这些材料还可用于靶向给药通过修改与目标表面配体如抗体、多肽。叶酸(-FA)具有高亲和力的叶酸受体,可用于靶向药物传递的细胞膜受体。
相关产品:
CAS:1603861-95-5
磷脂-聚乙二醇-靶向穿膜肽cRGD
二硬脂酰基磷脂酰乙醇胺-聚乙二醇2000
荧光素标记美罗培南
马来酰亚胺-聚乙二醇-聚(D,L-丙交酯-co-乙交酯)
荧光染料Cypate bis NHS
八臂聚乙二醇羧基
二硬脂酰基磷脂酰乙醇胺-聚乙二醇2000
cy3-Arginine
CAS:4235-95-4
CAS号132172-61-3
二硬脂酰基磷脂酰乙醇胺-聚乙二醇2000
氨基聚乙二醇磷脂
CAS号1622335-40-3
马来酰亚胺修饰葡聚糖




齐岳微信公众号
官方微信
库存查询