DSPE-Hyd-PEG-Folate 磷脂-腙键-聚乙二醇-叶酸 DSPE-Hyd-PEG2K-Folate
发布时间:2023-06-02  作者:LYQ  分享到:
用途
DSPE-PEG叶酸盐(Mw 3350)是一种含有叶酸的PEG衍生物。DSPE-PEG-Folate具有靶向作用,并与癌症细胞中的叶酸受体结合。
产品名称:
DSPE-Hyd-PEG2000-Folate 磷脂腙键聚乙二醇叶酸
英文名称:DSPE-Hyd-PEG-Folate DSPE-Hyd-PEG2K-Folate
中文名称:磷脂-腙键-聚乙二醇-叶酸
外观:粘性液体或固体粉末,取决于分子量
分子量(PEG):根据客户需求定制
注意事项:在干燥的环境中取用,避免频繁的溶解和冻干
溶解性:溶于大部分有机溶剂,溶于水
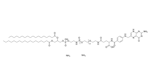
DSPE-PEG-Folate产品结构式:

产地:西安
包装:瓶装
厂家:西安齐岳生物科技有限公司
温馨提示:仅适用于科研实验,不可用于人体!
西安齐岳生物科技有限公司可供常规磷脂单体、PEG磷脂,改性磷脂,磷脂、聚合物磷脂、磷脂偶连无机纳米材料及微球类材料、单分散小分子PEG磷脂偶连产品,还可根据客户需要定制合成复杂及特殊的聚合物磷脂产品、两亲嵌段共聚物,磁性纳米颗粒,纳米金,荧光量子点及树枝状聚合物、PEG衍生物等等产品,更有许多的库存产品可供选择,详情请咨询客服。
产品推荐:
Rhodamine-PEG-Thiol
罗丹明PEG巯基
DSPE-PEG2K-PBA
磷脂聚乙二醇苯硼酸
DSPE-PEG-PBA
苯硼酸聚乙二醇磷脂
PBA-PEG-DSPE
磷脂-聚乙二醇-苯硼酸




齐岳微信公众号
官方微信
库存查询