DSPE-PEG2000-RGD靶向肽 磷脂-聚乙二醇-靶向肽 DSPE-PEG2000-RGD靶向肽
发布时间:2023-06-02     作者:LYQ   分享到:
DSPE-PEG-RGD,RGD是由精氨酸(Arg)、甘氨酸(Gly)、天冬氨酸(Asp)3个氨基酸组成的序列肽,是近几年来发现的具有高生物活性的短肽序列之一。
RGD肽作为整合素和其配体相互作用的识别位点,介导细胞与细胞外基质及细胞间的黏附作用,同时具有信号传导功能。聚乙二醇(PEG)偶联的DSPE具有亲水性,可用于药物递送、基因转染和生物分子修饰。
产品名称:
DSPE-PEG2000-RGD 磷脂聚乙二醇靶向肽
英文名称:DSPE-PEG2000-RGD靶向肽 DSPE-PEG2000-RGD靶向肽
中文名称:磷脂-聚乙二醇-靶向肽
状态:固体或粘稠液体,取决于分子量大小
保存时间 1年
端基取代率:≥95%
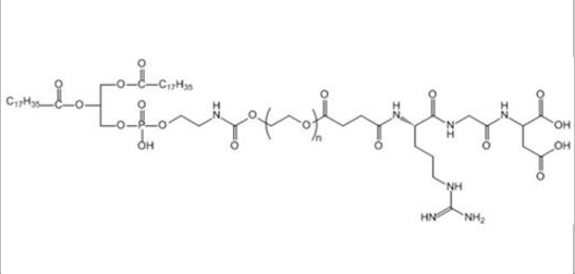
产品结构式:

产地:西安
包装:瓶装
厂家:西安齐岳生物科技有限公司
温馨提示:仅适用于科研实验,不可用于人体!
我公司可以提供各种高分子PEG衍生物,分子量从1000-20000不等,涉及甲氧基PEG|氨基PEG|羧基PEG|巯基PEG|叠氮PEG|八臂PEG|四臂PEG|活性酯PEG|叶酸PEG|生物素PEG|马来酰亚胺PEG|荧光素PEG|罗丹明PEG|丙烯酸酯PEG|磷脂PEG|琥珀酰亚胺PEG|炔基PEG|羟基PEG|叶酸PEG|硅烷PEG等基团,同时我公司新推出了单分散的小分子量PEG/PEO衍生物,PEG/PEO的重复单元从2个-24个不等。
产品推荐:
甲氧基聚乙二醇聚乳酸-羟基乙酸共聚物
PLGA-PEG
聚乳酸-羟基乙酸共聚物mPEG
mPEG-PLGA
mPEG聚乳酸-羟基乙酸共聚物
PEG-b-PLGA
甲氧基聚乙二醇PLGA
DSPE-TK-PEG MW:2K




齐岳微信公众号
官方微信
库存查询