齐岳生物|UDP-glucose|葡萄糖是合成代谢关键
发布时间:2021-12-10  作者:UDP-glucose  分享到:
在大多数类型的细胞中,葡萄糖是一种必要的营养物质,
但是,除了作为一种营养物质的功能,葡萄糖也是许多合成代谢途径的关键底物。
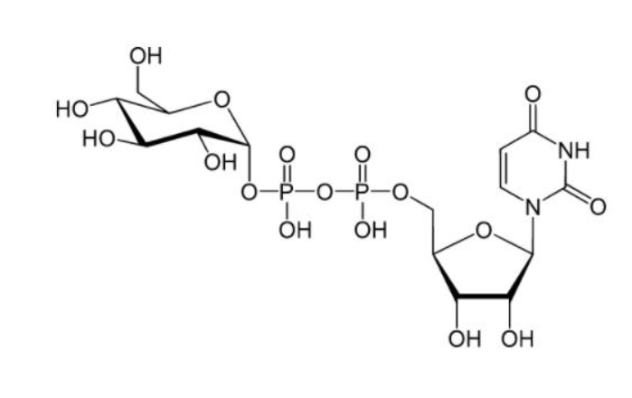
在这些途径中,葡萄糖的使用取决于它激活UDP-葡萄糖(uridine diphosphate, UDP-glucose),
由UDP-glucose焦磷酸化酶2 (UGP2)催化,UGP2是哺乳动物细胞中**能够将葡萄糖1-磷酸转化为UDP-葡萄糖的酶(6)。
UGP2在一些**症中上调,包括pdac,其表达与进展率增高和不良预后相关(7⇓⇓⇓-11)。
然而,UGP2在PDAC生长和维持中的直接作用尚未被探究,其调控和作用机制尚不清楚。

西安齐岳生物科技有限公司是国内光电材料,纳米材料,聚合物;化学试剂供应商;**于科研试剂的研发生产销售。供应有机发光材料(聚集诱导发光材料)和发光探针(磷脂探针和酶探针)、碳量子点、金属纳米簇;嵌段共聚物等一系列产品。sjl2012/12/10




齐岳微信公众号
官方微信
库存查询