PLL-g-PEG 聚乙二醇-g-聚赖氨酸 PLL-PEG
发布时间:2023-06-26     作者:LYQ   分享到:
产品简介:
PLL(20)-g[3.5]-PEG(2)可以通过改变PLL与g[3.5]-PEG的比例和长度来调节药物的释放速率和靶向性。这种复合物可以容易地与药物和其他生物活性分子包装在一起,并且可以针对**和其他疾病的细胞表面受体进行定向。
英文名称:
PLL(20)-g[3.5]-PEG(2) 甲氧基聚乙二醇聚赖氨酸
中文名称:聚乙二醇-g-聚赖氨酸
别称:PLL-g-PEG PLL-PEG
保存时间 1年
质量:97%+
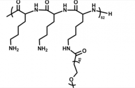
结构式:

储存方式:-5°C以下保存,干燥,避光
生产地:西安
供应商:西安齐岳生物科技有限公司
温馨提示:本公司提供的产品仅供科研使用!
相关产品:
PEG巯基
Biotin-PEG2000-NHS
生物素-聚乙二醇-活性酯
Biotin-PEG2K-NHS
活性酯peg生物素
Biotin-PEG-NHS
生物素聚乙二醇活性酯




齐岳微信公众号
官方微信
库存查询