CAS:384832-99-9 DOPE-NBD,磷脂膜染料
发布时间:2023-07-10     作者:zyl   分享到:
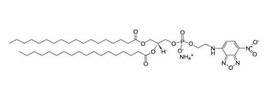
中文名称:DOPE-NBD磷脂膜染料
英文常用名:DOPE-NBD
状态:白色粉末
CAS:384832-99-9
分子量:923
纯度:≥95%
规格:mg
溶解度:溶于部分有机溶剂
储藏条件:-20℃冷藏保存
保存时间:6月
其他:460nm/535nm
用途:仅用于科研,不用于人体

西安齐岳生物科技有限公司是集化学科研和定制与一体的高科技化学公司。业务范围包括化学试剂和产品的研发、生产、销售等。涉及产品为通用试剂的分销、非通用试剂的定制与研发,涵盖生物科技、精细化学品、中间体和化工材料等领域。与多家品牌深度合作,渠道广阔,主营产品:原料药,天然产物,COF、MOF单体系列:三蝶烯衍生物、金刚烷衍生物、四苯甲烷衍生物、peg、上转换、石墨烯、光电材料、点击化学、凝集素、载玻片、蛋白质交联剂、脂质体、蛋白、多肽、氨基酸、糖化学等。
相关产品:
CAS:384832-99-9
cas:816-94-4
mPEG-PCL
mPEG-PEI
DSPE-PEG-GE11
CAS:1445723-73-8
磷脂聚乙二醇羧基
二硬脂酰基磷脂酰乙醇胺-聚乙二醇2000
树枝状聚酰胺胺接氨基/树枝状聚合物
巯基化链霉亲和素
DSPE-PEG-Biotin
苯基叠氮化物交联剂
二聚乳酸-羟基乙酸共聚物聚乙二醇
异硫氰酸荧光素标记牛血清白蛋白




齐岳微信公众号
官方微信
库存查询