甲氧基聚乙二醇-琥珀酸酰胺琥珀酰亚胺酯 MPEG-Succinamide Succinimidyl ester
发布时间:2023-12-21     作者:zyl   分享到:
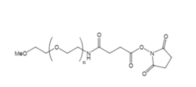
产品名称:甲氧基聚乙二醇-琥珀酸酰胺琥珀酰亚胺酯
MPEG-琥珀酸酰胺琥珀酰亚胺酯
英文名称:MPEG-Succinamide Succinimidyl ester ;MPEG-SAS
分子量:1k,2k,3.4k,5k,10k,20k(可按需定制)
质量控制:95%+
原料分散系数PDI:≤1.05
存储条件:-20°C,避光,避湿
用 途:仅供科研实验使用,不用于诊治
外观: 固体或粘性液体,取决于分子量
注意事项:取用一定要干燥,避免频繁的溶解和冻干
溶解性:溶于大部分有机溶剂,如:DCM、DMF、DMSO、THF等等。在水中有很好的溶解性

产品简介:
mPEG-SAS是一种mPEG-NHS酯试剂。 PEG和NHS酯之间存在C2脂族酰胺键。mPEG-SAS是一种氨基(-NH2)反应性PEG衍生物,可用于修饰蛋白质,肽或任何其他具有可用氨基的表面。 NHS酯与pH 7〜8.5的伯胺基反应形成稳定的酰胺键。
NHS酯与去质子化的伯胺反应,因此,该反应需要中性至碱性pH值才能进行。伯胺通过亲核攻击与NHS酯反应,NHS作为副产物释放。 NHS-酯的水解与水溶液中的反应竞争,并随着pH的增加而增加。
相关产品:
MPEG-琥珀酰亚胺基碳酸酯
MPEG-琥珀酰亚胺戊酸酯
MPEG-琥珀酰亚胺戊二酸酯
MPEG-琥珀酰亚胺羧甲基酯
MPEG-环氧化物
MPEG-缬草酸
MPEG-丙烯酰胺
MPEG-溴化物
MPEG-乙烯砜
MPEG-甲基丙烯酸酯
MPEG-碘乙酸盐
MPEG-氯化物




齐岳微信公众号
官方微信
库存查询