Gala-PEG-SCM 半乳糖-聚乙二醇-琥珀酰亚胺羧甲基酯
发布时间:2024-01-10     作者:wyh   分享到:
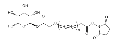
中文名称:半乳糖-聚乙二醇-琥珀酰亚胺羧甲基酯
英文名称:Gala-PEG-SCM
英文别名:
Galactose-PEG-SCM
产品纯度:
≥95%
产品用途:
应用于医学研究,药物释放,纳米技术和新材料研究,细胞培养。 以及配体研究,多肽合成支持,接枝高分子化合物,新材料和聚乙二醇改性功能涂层等活性化合物方面。
PEG分子量可选:350、550、750、1k、2k、34k、5k等
品牌 西安齐岳生物科技有限公司
产地 西安
温馨提示:仅用于科研

关于我们:
西安齐岳生物科技有限公司是国内的PEG供应商,可以提供不同分子量的PEG衍生物,小分子PEG的循环节可以做到1-36个,高分子PEG分子量从1000-40000不等,可以修饰的基团有:氨基类,NHBOC类,Fmoc类,羧酸类,Mal类,NHS类,叠氮类,DBCO类,Cy3/Cy5/Cy7类,THP类,苄基类,丙炔基类,溴代类,丙酸叔丁酯类,乙酸叔丁酯类,甲基类,生物素类,五氟苯酚类,磺酸酯类,巯基类,产品纯度高达98%以上。
部分目录:
CAS:1620461-89-3
甲氧基-十二聚乙二醇-溴
mPEG12-Br
CAS:1200365-63-4
氨氧基-三聚乙二醇-硫醇盐酸盐
Amineoxy-PEG3-thiol HCl salt
CAS:1383814-00-3
氨基-十二聚乙二醇-丙酸叔丁酯




齐岳微信公众号
官方微信
库存查询