CAS 122555-91-3;DO-(CH2COOt-Bu)3的储存条件
发布时间:2024-01-29  作者:wyh  分享到:
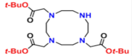
产品名称 DO-(CH2COOt-Bu)3,122555-91-3
英文名称 DO-(CH2COOt-Bu)3
分子量 514.7
CAS 122555-91-3
分子式 C26H50N4O6
存储条件 -20°C
保存时间 一年
颜色 White Solid

关于我们
西安齐岳生物科技有限公司是国内的双功能螯合剂衍生物供应商,可以提供不同分子量的双功能螯合剂衍生物,可以提供的相关产品包括:NOTA、DOTA、DTPA、Deferoxamine、Cyclen、H3RESCA、Octaaminocryptands、其它双功能螯合剂,产品纯度高达98%以上。
相关产品:
产品名称详细介绍
DOTA-SH,865470-67-3
DOTA-C4-NH2,753421-63-5
DOTA-Serotonin,2125661-93-8
DOTA-p-NH2-Bn-(COOt-Bu)4,446061-19-4
DOTA-p-NO2-Bn,116052-88-1
DOTA-p-NH2-Bn,181065-46-3
DOTA-p-NCS-Bn,127985-74-4




齐岳微信公众号
官方微信
库存查询