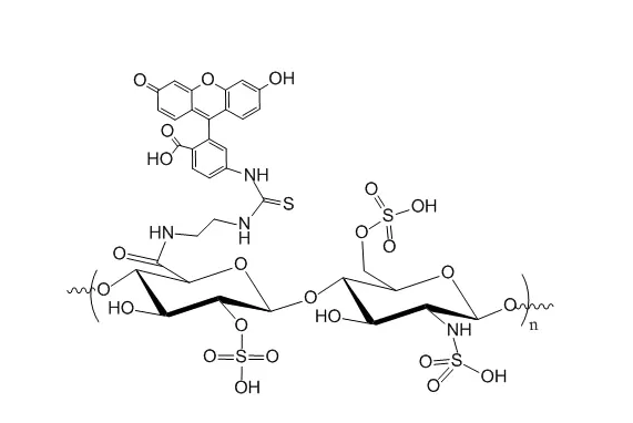
Hyaluronate-Fluorescein,HA-FITC,40-50k
发布时间:2022-04-11  作者:zyl  分享到:
Hyaluronate-Fluorescein,HA-FITC,40-50k
中文名称:透明质酸40-50k
英文名称:FITC-HA MW:40-50k
外观:粉末
溶解度:水
分子量:PEG分子量可选
纯度:95%+
储存条件:-20℃
用途:仅用于科研,不用于人体

产地:西安
纯度:99%
用途:仅用于科研




齐岳微信公众号
官方微信
库存查询