DOPE-PEG-NHS,二油酰磷脂酰乙醇胺-聚乙二醇-琥珀酰亚胺碳酸酯
发布时间:2024-03-25  作者:zyl  分享到:
产品描述:
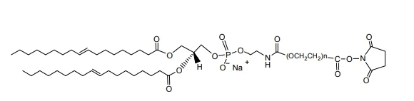
DOPE-PEG-NHS是一种能与伯胺基团反应的活性磷脂PEG衍生物,具有亲水性和疏水性。DOPE(1,2-二醇基-sn-甘油-3-磷酸乙醇胺)是一种具有高疏水性的18碳非饱和磷脂。

英文名称:DOPE-PEG-NHS
中文名称:二油酰磷脂酰乙醇胺-聚乙二醇-琥珀酰亚胺碳酸酯
分子量:1000,2000,3400,5000,10000,20000(可按需定制)
外观:粘稠液体或固体粉末,取决于分子量大小
端基取代率:≥95%
溶解性:溶于大部分有机溶剂,如:DCM、DMF、DMSO、THF等等;溶于水
存储条件:-20°C,避光,避湿
用途:仅用于科学研究或者工业应用等非医疗目的,非药用,非食用
注意事项:取用一定要干燥,避免频繁的溶解和冻干
取用:现配现用,将包装从冰箱中取出,置于干燥器中缓慢升至室温,打开瓶盖,取用。取用后充入惰性气体,封口膜封口,拧紧瓶盖装入自封袋,及时放入冰箱。
相关产品:
NH2-PEG2000-carboxyl
NH2-PEG2000-Maleimide
醛基PEG氨基
NH2-PEG2000-Thiol
酰基PEG氨基
NH2-PEG2000-aldehyde
半琥珀酸胆固醇PEG氨基
NH2-PEG2000-hydroxyl
NH2-PEG2000-HZ
氨基聚乙二醇半琥珀酸胆固醇




齐岳微信公众号
官方微信
库存查询